甘肃床铃批发联盟
首页
批发排行
最新资讯
同业状态
登陆
|
注册
关注高考│甘肃省公布2016年普通高校招生本科一批H段院校最低录取分数
+关注
+发表新主题
关注高考│甘肃省公布2016年普通高校招生本科一批H段院校最低录取分数
发表于
讨论求助
2022-08-23 11:37:03
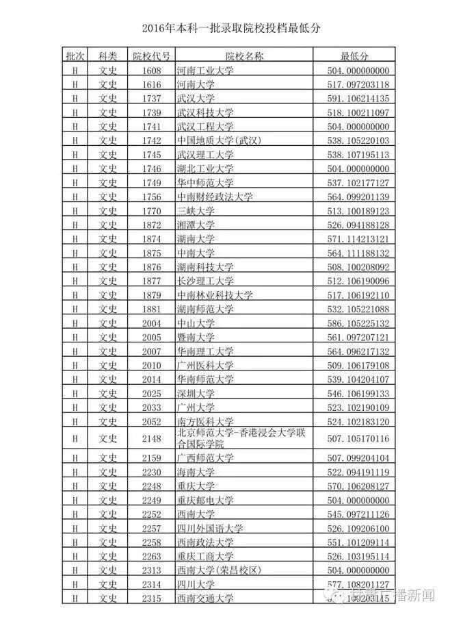
甘肃省教育考试院最新公布2016年普通高校招生本科一批H段院校最低录取分数。具体为:
(甘肃广播新闻 刘欣宜)
发表
回复
签到
26906人
签到看排名